• Se connecter
Revue Francophone d'Hémostase et Thrombose
  • Accueil
  • Actualités
  • Comités
  • Revue
    • Articles
    • Auteurs
    • Abonnement
  • Éditions spéciales
  • MyTIH
  • Hémo’Box
  • Menu Menu

ÉDITION SPÉCIALE EAHAD 2026

19th Annual Congress of the European Association for Haemophilia and Allied Disorders
Du 3 au 6 février 2026, Dublin

Avec le soutien institutionnel

Prévention de l’hémorragie sévère du post-partum : les taux plasmatiques de VWF sont-ils suffisants ?

D’après la communication orale de Karin Van Galen, University medical center Uetrecht, Pays Bas, Optimal peri-delivery von Willebrand factor targets. 19th Annual Congress of the European Association of Haemophilia and Allied Disorders 2026, 3-6 February.

Birgit Frotscher, Nancy

L’hémorragie du post-partum (HPP) demeure la première cause de mortalité maternelle dans le monde. Chez les femmes atteintes d’une maladie de Willebrand (VWD) ou conductrices d’une hémophilie, le risque hémorragique obstétrical est accru et ne peut être pleinement prédit par les seuls paramètres plasmatiques.

Une étude rétrospective néerlandaise menée entre 2002 et 2011, incluant 184 accouchements chez 154 femmes atteintes de VWD ou conductrices d’une hémophilie, a rapporté une incidence d’hémorragie sévère du post-partum (HSPP) de 8 %, contre 4,5 % dans la population générale. Sur la base de ces données, les recommandations néerlandaises ont été révisées en 2018, avec un relèvement des valeurs seuils de FVIII et/ou de facteur Willebrand (VWF) justifiant une prophylaxie hémostatique au troisième trimestre, ainsi que celles devant être atteintes au pic lors de l’accouchement et en post-partum, et préconisant aussi un recours élargi à l’acide tranexamique (Figure 1).

eahad2026-brv3-1
Figure 1 : Évolution des recommandations néerlandaises (2018) concernant la prophylaxie hémostatique obstétricale chez les femmes atteintes de maladie de Willebrand ou conductrices d’une hémophilie : seuils de FVIII et de facteur Willebrand au troisième trimestre, lors de l’accouchement et en post-partum

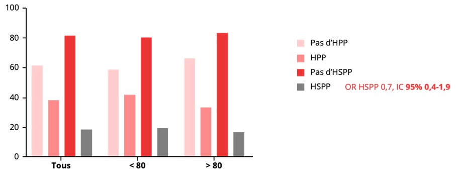
Afin d’évaluer l’impact de cette révision, les études rétrospectives rétro-PRIDE (2012–2017) et prospective PRIDE (2018–2024) ont été menées et comparées. L’étude rétro-PRIDE a inclus 394 accouchements chez 292 femmes atteintes de VWD ou conductrices d’une hémophilie, avec une incidence de l’HSPP de 10 %, comparable à celle observée avant la révision et toujours supérieure à celle de la population générale (8 %). L’étude prospective PRIDE a inclus 160 accouchements chez 135 femmes atteintes de VWD, prises en charge selon les nouvelles recommandations. La comparaison des deux cohortes ne montre pas de diminution significative de l’incidence de l’HSPP après la révision des recommandations, ni d’association claire entre le taux de VWF au troisième trimestre et le risque d’HPP ou d’HSPP (Figure 2).

eahad2026-brv3-2
Figure 2 : Incidence de l’hémorragie du post-partum et de l’hémorragie sévère du post-partum selon le taux de facteur Willebrand mesuré au troisième trimestre de la grossesse

Ces résultats font discuter le rôle du VWF dans l’hémostase utérine et suggèrent que les taux plasmatiques pourraient ne pas refléter les mécanismes locaux mis en jeu, notamment le rôle du VWF extravasculaire, son implication dans la vascularisation utérine et les processus d’angiogenèse.

Retour

Attention : ceci est un compte-rendu et/ou résumé des communications de congrès dont l’objectif est de fournir des informations sur l’état actuel de la recherche ; ainsi, les données présentées sont susceptibles de ne pas être validées par les autorités françaises et ne doivent donc pas être mises en pratique.
Ce compte-rendu a été réalisé sous la seule responsabilité du coordinateur, des auteurs et du directeur de la publication qui sont garants de l’objectivité de cette publication.

VOLUME 7 – NUMÉRO 4

Octobre-Décembre 2025

VOLUME 7 – NUMÉRO 4
Consulter les articles
Je m'abonne
SOMMAIRE
EDITORIAL
Editorial
Lire +
Le facteur XI de la coagulation : physiologie et implication dans les thromboses
Dossier Thématique
Lire +
Anticoagulants ciblant le facteur XI(a) et tests d’hémostase : un besoin urgent de données pharmacodynamiques fiables
Dossier Thématique
Lire +
Prise en charge des anti-facteur XI(a) et des hémorragies
Dossier Thématique
Lire +
PTT auto-immun : un diagnostic d’urgence guidé par la présence de schizocytes et confirmé par le déficit en activité ADAMTS13
Cas Clinique
Lire +
Un nouveau challenge dans la surveillance biologique des patients hémophiles A traités : doser l’efanesoctocog alfa
Note du Biologiste
Lire +
La plaquette, un acteur émergent dans la fibrose pulmonaire
Flash Scientifique
Lire +
ACTUALITÉS SCIENTIFIQUES
Lire +
Groupe PTT, équipe 10 « Immunopathologie et immuno-intervention thérapeutique » de l’UMRS_1138 Inserm – Sorbonne Université et Université Paris Cité, Centre de Recherche des Cordeliers – Paris
Zoom sur les Acteurs
Lire +
Actualités pharmaceutiques
Actualités pharmaceutiques
Lire +

Partenaires

LOGO_SFTH

Congrès

25/03
-
27/03

46e Congrès de la Société Française d’Hématologie (SFH)
Paris, France

11/07
-
15/07

International Society on Thrombosis and Haemostasis 2026 Congress (ISTH)
Paris, France

30/09
-
02/10

Congrès de la Société Française de Thrombose et d’Hémostase (SFTH)
Nîmes, France

VOIR PLUS
logo_kp

88 rue du Dôme – 92100 Boulogne-Billancourt
Tél. : +33 (0)1 83 64 45 98
Contactez-nous – Mentions légales – CGV – CGU

Suivre un lien ajouté manuellement

Suivez nous sur

Les contenus publiés sur ce site internet sont sous la responsabilité de leurs auteurs. Certaines données scientifiques publiées sur ce site sont susceptibles de ne pas être validées par la commission d’Autorisation de Mise sur le Marché, et ne doivent donc pas être mises en pratique. Elles doivent être lues et comprises avec le plus grand discernement et sont données dans leur cadre de la diffusion de l’information sur l’état actuel de la recherche auprès de la communauté scientifique internationale. © Copyright – Kephren Publishing

Faire défiler vers le haut

En poursuivant votre navigation, vous acceptez l’utilisation de cookies pour pouvoir utiliser les fonctionnalités du site. Pour en savoir plus sur notre politique en matière de cookies et paramétrer les cookies. Privacy Policy

Tout accepterTout refuserPlus d'information

Cookie and Privacy Settings



Comment on utilise les cookies

Nous pouvons demander que les cookies soient réglés sur votre appareil. Nous utilisons des cookies pour nous faire savoir quand vous visitez nos sites Web, comment vous interagissez avec nous, pour enrichir votre expérience utilisateur, et pour personnaliser votre relation avec notre site Web.

Cliquez sur les différentes rubriques de la catégorie pour en savoir plus. Vous pouvez également modifier certaines de vos préférences. Notez que le blocage de certains types de cookies peut avoir une incidence sur votre expérience sur nos sites Web et les services que nous sommes en mesure d'offrir.

Cookies Web Essentiels

Ces cookies sont strictement nécessaires pour vous fournir des services disponibles sur notre site Web et d'utiliser certaines de ses fonctionnalités.

Puisque ces cookies sont strictement nécessaires pour livrer le site, vous ne pouvez pas les refuser sans impact sur la façon dont notre site fonctionne. Vous pouvez les bloquer ou les supprimer en changeant les paramètres de votre navigateur et forcer le blocage de tous les cookies sur ce site.

Google Analytics

Ces cookies collectent des informations qui sont utilisées soit sous forme agrégée pour nous aider à comprendre comment notre site web est utilisé ou quelle est l'efficacité de nos campagnes de marketing, soit pour nous aider à personnaliser notre site web et notre application pour vous afin d'améliorer votre expérience.

Si vous ne voulez pas que nous suivions votre visist sur notre site, vous pouvez désactiver le suivi dans votre navigateur ici :

Autres services externes

Nous utilisons également différents services externes tels que Google WebFonts et les fournisseurs de vidéo externes. Comme ces fournisseurs peuvent collecter des données personnelles comme votre adresse IP, nous vous permettons de les bloquer ici. Veuillez prendre note que cela pourrait fortement réduire la fonctionnalité et l'apparence de notre site. Les modifications prendront effet une fois que vous rechargerez la page.

Paramètres Google webfont:

Vimeo Video Embeds:

Politique de Confidentialité

Vous pouvez lire plus sur nos cookies et les paramètres de confidentialité en détail sur notre Page de Politique de Confidentialité.

Privacy Policy
Accepter les réglagesMasquer uniquement les notifications
Ouvrir la barre de message